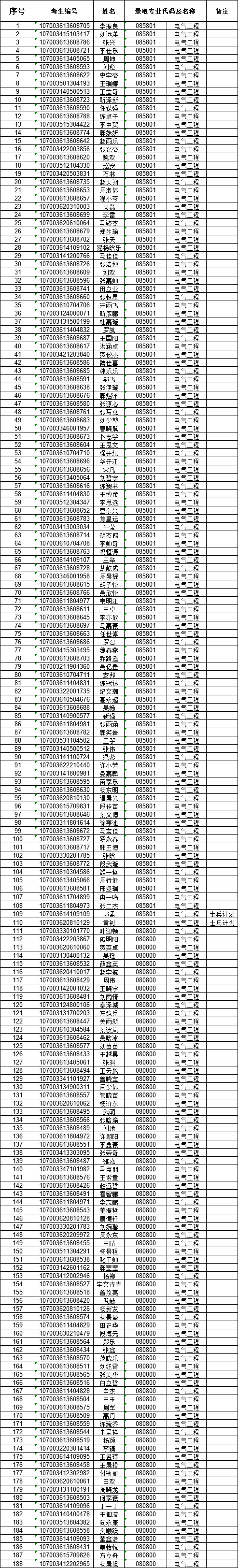
西安理工大学电气工程学院2023年硕士研究生拟录取名单公示

2023年04月12日   作者:电气工程学院   点击:[]

上一条:西安理工大学电气工程学院2023年博士研究生拟录取名单公示 下一条:西安理工大学电气工程学院博士师资招聘公告

关闭